Teori Interaksi Desa dan Kota
Interaksi antara dua kelompok manusia satu dengan kelompok lainnya sebagai produsen dan konsumen serta barang-barang yang diperlukan, menunjukkan adanya gerakan (movement). Produsen suatu barang umumnya terletak ditempat tertentu dalam ruang geografis (geographical space), sedang para pelanggan tersebar dengan berbagai jarak di sekitar produsen. Sebelum terjadi transaksi harus ada gerakan terlebih dulu.
Frekuensi gerakan antara produsen dan pelanggan dipengaruhi oleh prinsip optimalisasi, oleh persyaratan “treshold”yaitu jumlah minimal penduduk yang diperlukan, dalam hal ini adalah pemakai yang dapat dipakai sebagai dasar perhitungan untuk mendirikan suatu unit usaha. Faktor “rage” jarak juga merupakan faktor penting yang menentukan interaksi antar wilayah. Luas sempitnya areal interaksi tergantung pada:
- Tinggi rendah treshold
- Padat tidaknya kawasan
- Perbedaan kultur dan perbedaan daya beli penduduk
- Faktor lain yang berpengaruh
Teori Gravitasi
Teori gravitasi dikemukakan oleh Issac Newton, yang sebenarnya digunakan dalam hukum fisika, namun kemudian diaplikasikan dalam analisis interaksi dalam geografi. Hukum gaya tarik berbunyi: tiap massa akan memiliki gaya tarik terhadap tiap titik di sekitarnya. Gaya tarik menarik berbanding lurus dengan massa-massanya, dan berbanding terbalik dengan kuadrat jaraknya. Dengan kata lain besarnya gaya tarik antara dua benda sama dengan hasil perkalian massa kedua benda tersebut, dibagi kuadrat jarak antara keduanya.

Dari hasil perhitungan tersebut dapat ditafsirkan bahwa interaksi yang terbesar adalah antara Kota Yogyakarta dengan Kota Surakarta, berarti interaksi sosial ekonomi dan sejenisnya antara ke dua kota tersebut paling tinggi dibanding interaksi antara empat kota lainnya
Contoh Soal:
Diketahui jumlah penduduk kota Kuningan adalah 50.000 jiwa dan kota Sumedang adalah 40.000 jiwa. Jarak antara kota Kuningan dengan kota Sumedeang adalah 1.000 km. Berapakah kekuatan interaksi antara kedua kota tersebut?
Jawab:
I¹-² = k . P1 . P2
(J 1-2)²
= 1. 50.000 . 40.000
(1000) ²
= 1. 200.0000.000
1.000.000
= 2.000
Jadi nilai interaksi kota Kuningan dengan kota Majalengka adalah 2.000.
Teori Titik Henti (Breaking Point Theory)
Menurut teori ini jarak titik henti (titik pisah) dari lokasi pusat perdagangan (atau pelayanan sosial lainnya) yang lebih kecil ukurannya adalah berbanding lurus dengan jarak antara kedua pusat perdagangan. Namun, berbanding terbalik dengan satu ditambah akar kuadrat jumlah penduduk dari kota atau wilayah yang penduduknya lebih besar dibagi jumlah penduduk kota yang lebih sedikit penduduknya

Contoh Soal :

I = e
v
= 4/4
= 1
Teori Grafik atau Indeks Konektivitas
Teori indeks konektivitas pertama kali dikemukakan oleh K.J. Kansky dalam tulisannya berjudul “Structure of transportation Networks”. Untuk mengetahui indeks konektivitas dalam suatu wilayah yang dilihat dari jaringan jalan

Contoh Soal :

Analysis Tetangga Terdekat (Nearest Neighbor Analysis)
Analisis tetangga terdekat merupakan salah satu analisis yang digunakan untuk menjelaskan pola persebaran dari titik-titik lokasi tempat dengan menggunakan perhitungan yang mempertimbangkan, jarak, jumlah titik lokasi dan luas wilayah. Analisis ini memiliki hasil akhir berupa indeks, dimana Indeks yang dihasilkan akan memiliki hasil antara 0 – 2,15. Nilai 0 menunjukkan bahwa polanya cenderung memiliki tipe mengelompok (cluster), sedangkan mendekati 2,15 memiliki tipe pola seragam (regular), sedangkan jika berada di tengah nilainya memiliki pola acak (random).
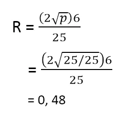
Contoh Soal :
hipotesa pada suatu areal yang luasnya 25 km2 terdapat 25 kelompok pemukiman dengan jarak antar pemukiman adalah 6 km. Maka

Rentang Nilai R :
I. 0,00 - 0,70 Pola bergerombol
(Cluster Pattern)
II. 0,70 - 1,40 Pola tersebar tidak
merata (Random Pattern)
III. 1,40 - 2,1491 Pola tersebar
merata (Dispersed Pattern)